The impact of online word of mouth on consumer behaviour in the cosmetics industry
China’s cosmetics market is the third largest in the Asia-Pacific region and the seventh largest in the world (UK Trade & Investment, 2010). Since China’s economy has boomed in the past two decades, the ideology of purchasing cosmetics products has been spread, especially in the coastal regions. Even though the macroeconomic downturn in the last two years reduced total retail sales in various developed nations, China’s market still maintains double-digit growth, indicating the power of being the fastest-growing cosmetics market in the world (Li & Fung Research Centre, 2009).
According to the Li & Fung Research Centre (2011), in general, the major marketplace is dominated by a two brands tier structure: (1) foreign brands introduced by multinational firms such as Proctor and Gamble, L’Oréal, Estée Lauder and Shiseido (2) domestic brands launched by local SMEs. Most of the mid-high and high-end segments are occupied by foreign players, which have a relatively more comprehensive brand portfolio than their domestic counterparts. On the other hand, most of the domestic brands are operating as small businesses, and they are far less competitive when the foreign players are expanding their boundaries into the mass market (Mark, 2007). There is no doubt that foreign participants, whose products are well-known for reputation and quality, significantly enhance the fierceness of the e-competition in the mass market.
Regarding distribution channels in China’s cosmetics industry, although the online channel offers tremendous business opportunities and is growing annually, online transactions only occupy a small share compared with traditional distribution channels such as department stores (56.2 per cent), super/hypermarkets (20.2 per cent) and professional stores (Li & Fung Research Centre, 2007). Nonetheless, according to the China Internet Network Information Centre, in 2007 approximately 70 per cent of the Internet users were under the age of 30. This phenomenon implies that there is still huge room to earn profits through the adoption of e-business, and that an online platform provides a great channel to interact with younger customers.
Critically, the Internet has been used as a pivotal platform to develop business regardless of whether firms are small or multinational. One of the key factors driving firms to adopt e-commerce is its marketing function (Sellitto, 2003). Although small firms are more sensitive to the adoption of new technology, which is primarily because of their finite resources, small enterprises are often effectively utilizing their websites to build up a strong and interactive relationship with clients (Martin and Matlay, 2003). According to Osterwalder and Pigneur (2002), it is helpful for companies to use e-business tactics when clearly defining e-business models. Additionally, such rigorously-defined models can assist firms to assess, alter, and even stimulate the business. The authors also indicated that it is necessary to realise and implement e-business models (see Figure 1: Business Logic Triangle) to reduce uncertainty when the business environment is increasingly dynamic (Osterwalder and Pigneur, 2002). This is mainly because:
- an e-business model could assist in identifying and realising the relevant elements in a particular area and the connections between those elements (Uschold and King, 1995)
- managers could easily communicate their understanding of an e-business with other stakeholders through the assistance of formalized models (Fensel, 2004)
- it is easier for business model planners to modify relevant elements from the existing models (Petrovic et al., 2001).

Figure 1: Business Logic Triangle
Source: Osterwalder and Pigneur, 2002
There has been massive growth in the word of mouth industry (WOMMA, 2007), and the impact of social networks has played a significant role in the online retail and e-business environment. This evidence is also shown in the research done by Leitner and Grechenig (2008), which showed that five established social media (MySpace, Facebook, Orkut, Hi5 and Friendster) had experienced a phenomenal increase in terms of their daily reach from 2004 to 2008 (see Appendix 1), and that the e-commerce pioneers (Amazon and eBay) had an evident decline in their daily reach compared to the growth of MySpace (see Appendix 2). Obviously, the high prevalence of social networks may impact traditional e-commerce regardless of whether it is B2B or B2C.
Virtual commununities – such as chat rooms, microblogs and message boards – are recognised as a variety of consumer groups with different sizes that communicate online to seek personal purpose and share goals (Dholakia et al., 2004). More specifically, they can be divided into two distinct but interrelated networks: social and informational (Dwyer, 2007). In terms of the former, it is defined as a group of people who have certain patterns of interaction within the society (Newman, 2003). The latter, which was examined by Price (1965) who used citation networks of journal articles as an example to illustrate the phenomenon of such networks, shows how several pieces of interrelated information can be connected. Dwyer (2007) argued that the main functions of an online community can be either to accelerate the collection of information or to enhance purchasers’ enjoyment and satisfaction after buying and using goods. Moreover, the nature of social media, which is constructed by word of mouth, is a pertinent example of “involvement response”. This response, defined by Zaichkowsky (1985), can be divided into situational involvement and enduring invovlement, and enduring involvement, which is inspired by internal factors, such as a connection between the usage of a product and personal positive or negative emotion, is the primary reason for customers to participate in a virtual community (Wang and Fesenmaier, 2003).
Anderson (2006) stated that a new generation of business and sales concepts, such as crowdsourcing,1 departing from conventional e-business, has been formed within the last few years due to the rapid expansion of social networking and its predominance in niche markets.
Typically, online buyers are vulnerable to fraud by strangers, especially transacting with malicious cheats, in traditional e-marketplaces, namely: eBay and Craigslist (Swamynathan et al., 2008). Bhattacharjee and Goel (2005) indicated that even though those famous online shopping platforms have integrated reputation and credit systems, it is still easy for malicious sellers to artificially inflate personal credit and reputation values. Without the IP address tracking system, determining whether or not the vendor’s social ranking is boosted intentionally by the creation of multiple “Sybil”2 identities is extremely difficult (Douceur, 2002). In contrast, integrating features of social networks into an e-commerce community allows users to either search for comments from previous buyers (Trusov et al., 2009) or seek out transactions from their own friends, including friends of friends (Swamynathan et al., 2008). As a result, it is proposed that social networks can be regarded as a weapon against Sybil attacks, defending online reputation systems (Yu et al., 2008) and enhancing their trustworthiness (Jensen et al., 2002).
“Social commerce” or “social shopping”, which integrates social networks such as Facebook, MySpace and media sites (i.e., YouTube) into an e-commerce environment is an impressive type of innovative shopping model (Tedeschi, 2006), and it seems to have become the next generation trend (Leitner and Grechenig, 2008)(Leitner, 2008, Collaborative Shopping Networks: Sharing the Wisdom of Crowds in E-Commerce Environments). This phenomenon of integration allows customers to influence transactions not only during purchasing, but also after selling, and it has a tendency towards customer satisfaction along with consumer participation (Hagel and Armstrong, 1997).
Several reports have indicated that there is a boom in communities of “social commerce” or “social shopping”. For example, Tedeschi (2006) reported in the New York Times that substantial amounts of venture capital financing were allured by the future prosperity of the social commerce industry. From early 2007 to early 2008, the Financial Times also showed that online traffic on social commerce websites was growing significantly by over 500 per cent (Palmer, 2008), and further growth in this online social retailing industry is expected. The phenomenon of sharing the wisdom of crowds in a social commerce environment has also occurred in the online fashion industry. A pertinent example of this is Stylehive.com. It is a social shopping and bookmarking platform offering an interactive network for different users, including consumers, bloggers, designers and other retailers.
The nature of word of mouth in social networks and its implication have been studied academically in recent years. Table 1 gives details of the studies done by different authors.
| Authors | Year | Aims |
| Yang and Allenby | 2003 | Recent research in marketing has examined related issues, such as consumer interdependence in choice and spatial models |
| Chevalier and Mayzlin Godes and Mayzlin Liu | 2003 2004 2006 | The impact of online word of mouth from customer-generated media on business outcomes |
| Salganik, Dodds and Watts Watts and Dodds | 2006 2007 | Understanding the influence of social networks on marketing-related implications |
Table 1 : Previous StudIES oN Online Word of Mouth
Source: Stephen and Toubia, 2010
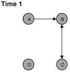
Nevertheless, social commerce which revolves around online word of mouth is a more current phenomenon, and it has not yet been studied intensively and extensively (Stephen and Toubia, 2010). In Stephen and Toubia’s study (2010), the idea of social commerce, which is similar to the concept of bricks-and-mortar 3 shopping centres, is seen as “virtual shopping centres”. Basically, online users can utilize e-shops’ networks to hyperlink to other shops (see Figure 2), enhancing the opportunities of being found by customers. However, there are some diverse concepts of accessibility between bricks-and-mortar shopping centre and social commerce (see Appendix 3).
![]() | ![]() |
| A customer browsing the network starting at shop A may access shops B and C. Browsing from shop B leads to shop C, browsing from shop C leads to shop B, and browsing is not possible from shop D. | A customer browsing the network starting at shop A may now access shops B, C and D. However, shop D is a dead-end. If a customer accesses shop D from shop A, shops B and C become inaccessible, and browsing from shop B, C or D is similar to time 1. |
Figure 2 : Illustration of Dead-ends and the Importance of Networks
Source: Stephen and Toubia, 2010
Ironically, higher interconnection between e-shops can generally improve the overall accessibility for an e-shop’s members; however, simply increasing hyperlinks may sometimes distract users and damage the browsability of the network. Stephen and Toubia (2010) found that “indegree centrality” 4 is beneficial to an e-shop as it is browsed by more customers, while “outdegree centrality” 5 may cause a (small) negative impact, leading users to leave the webpage. In other words, an e-shop which has more hyperlinks coming to it from other shops and fewer hyperlinks going out of it to others has more opportunities to perform better and generate more revenues compared with those which have a reversed circumstance.
There is no doubt that social commerce not only simply increases the accessibility from other e-shops or other online networks, but also efficiently harnesses the wisdom of crowds in order to improve the reliability and trustworthiness of an online shop for customers. Through the study of Overstock Auctions,6 Swamynathan et al. (2008) found that it was unpopular for most users in Overstock to engage in social networks; however, those who purchased goods from friends or friends of friends had a higher level of user satisfaction on average.
Leitner and Grechenig (2008) proposed an interaction model of a continuous cycle for collaborative shopping networks which clearly interprets how users connect to products via social networks (see Figure 3).

Figure 3 : Interaction Model of a Collaborative Shopping Network
Source: Leitner and Grechenig, 2008
In the model, it clearly shows that there are three different levels of entities which complicatedly interconnect to each other. The main entities are marked as consumers (Internet users) and products. Profiles, groups, repositories and vendors represent sub-entities. Smaller entities, which make up the largest part, are forums, posts, favourites, tags and feeds, and other tools.
Theoretically, an Internet user participates in collaborative networks via browsing a product comparison engine, the invitation of a friend or a user with similar interests, and so on. The user is allowed to share his own blog, favourites and other functions with other communities. Members in the same community have the ability to tag products, to comment on and rank them, and most importantly, to share their preferred orders and views with others. Based on users’ comments and purchasing behaviour, vendors are able to manage different campaigns and marketing activities, and to inform target users through the vendors’ own blogs or social networking.
Although sellers and buyers are connected in online social networking, the role of sellers in the study of Stephen and Toubia (2010) has a slightly different definition from traditional e-commerce. The main differences in their study are that:
sellers (shopkeepers) in social commerce are individuals instead of companies
sellers do not need to set a price for the product and own an inventory because those goods are delivered from companies (such as Apple, Dell and Acer)
the commissions depending on numbers of sales made by individuals are paid as sellers’ incentives.
| Who or what do you trust? |
| Recommendation from consumers 78% |
| Newspapers 63% |
| Consumer opinions posted online 61% |
| Brand websites 60% |
| Television 56% |
| Magazines 56% |
| Radio 54% |
| Brand sponsorships 49% |
| Email signed up for 49% |
| Ads before movies 38% |
| Search engine ads 34% |
| Online banner ads 26% |
| Text ads on mobile phones 18% |
| Source: Nielsen Online Global Consumer Study, April 2007 |
Table 2 : Comparison of the Level of Trust
Basically, there are three key factors that could illustrate the influence of word of mouth on customers’ decision-making and attitude-shaping: source credibility, tie strength and homophily (Brown et al., 2007). The relation between these three factors can be explained by the flow chart (see Appendix 4).
Source Credibility
Regarding the source credibility, Bart et al. (2005, p.136) proposed that “shared consciousness and a sense of moral responsibility and affinity enhance the consumer’s level of trust”. Additionally, the appearance of a website with a more professional design is another factor driving trust (Schlosser et al., 2006). Furthermore, Birnbaum and Stegner (1979) and Buda and Zhang (2000) identified two fundamental elements – source expertise and source bias – that may impact on the reliability of information sources. Whether an information provider, who is regarded as an “expert” with high credibility or not, is judged by the appraisal of the information offered by the person (Gotlieb and Sarel, 1991), is also dependent on the person’s unique position – namely, occupation and social experience (Schiffman and Kanuk, 2000).
Tie Strength
The second key factor, tie strength, is “a multidimensional construct that represents the strength of the dyadic interpersonal relationships in the context of social networks” (Money et al., 1998), and it may refer to criteria, such as the amount of information and the frequency and intimacy users exchange, to describe the relationship, ranging from strong to weak (Marsden and Campbell, 1984). A strong tie strength accelerates the interaction between users and the frequency of information exchanges, compared to a weak tie strength (Brown and Reingen, 1987).
Homophily
The last factor which is related to, but departs from, tie strength is the concept of homophily (Brown and Reingen, 1987). It illustrates the networks composed by individuals with similar features and attributes: age, gender and educational background (Rogers, 1995). Nonetheless, “shared interests” and “shared mind-set” are two driving forces towards online homophily, instead of interpersonal features, which are demonstrated to be nearly independent of them (Brown et al., 2007).
Although domestic cosmetics firms cannot compete on the same scale as their foreign counterparts, adopting the advantages of e-commerce can significantly benefit domestic firms when they are looking for more potential users. Most importantly, and different from the traditional approach of maintaining e-business, integrating online word of mouth into e-commerce is an innovative shopping model for e-retailers to gain a competitive advantage. Harnessing the wisdom of crowds can not only increase customers’ trust, but also establish a long-term relationship with them. In addition, compensating for the drawbacks of the online environment, in which there is a lack of physical contact with a product, can be done by understanding consumers’ behaviour in order to fulfil their enjoyment.
There are no sources in the current document.
ANDERSON, C. 2006. The long tail: how endless choice is creating unlimited demand.
BHATTACHARJEE, R. & GOEL, A. Year. Avoiding ballot stuffing in ebay-like reputation systems. In, 2005. ACM, 133–137.
BIRNBAUM, M. H. & STEGNER, S. E. 1979. Source credibility in social judgment: Bias, expertise, and the judge’s point of view. Journal of Personality and Social Psychology, 37, 48.
BROWN, J., BRODERICK, A. J. & LEE, N. 2007. Word of mouth communication within online communities: Conceptualizing the online social network. Journal of Interactive Marketing, 21, 2–20.
BROWN, J. J. & REINGEN, P. H. 1987. Social ties and word-of-mouth referral behavior. Journal of Consumer Research, 350–362.
BUDA, R. & ZHANG, Y. 2000. Consumer product evaluation: The interactive effect of message framing, presentation order, and source credibility. Journal of Product & Brand Management, 9, 229–242.
CHEVALIER, J. A. & MAYZLIN, D. 2003. The effect of word of mouth on sales: Online book reviews. National Bureau of Economic Research, Cambridge, MA.
DHOLAKIA, U. M., BAGOZZI, R. P. & PEARO, L. K. 2004. A social influence model of consumer participation in network-and small-group-based virtual communities. International Journal of Research in Marketing, 21, 241–263.
DOUCEUR, J. 2002. The Sybil attack. Peer-to-peer Systems, 251–260.
DWYER, P. 2007. Measuring the value of electronic word of mouth and its impact in consumer communities. Journal of Interactive Marketing, 21, 63–79.
FENSEL, D. 2004. Ontologies: a silver bullet for knowledge management and electronic commerce. Springer Verlag.
GODES, D. & MAYZLIN, D. 2004. Using online conversations to study word-of-mouth communication. Marketing Science, 545–560.
GOTLIEB, J. B. & SAREL, D. 1991. Comparative advertising effectiveness: The role of involvement and source credibility. Journal of Advertising, 38–45.
HAGEL, J. & ARMSTRONG, A. 1997. Net gain: expanding markets through virtual communities. Harvard Business Press.
JENSEN, C., DAVIS, J. & FARNHAM, S. Year. Finding others online: Reputation systems for social online spaces. In, 2002. ACM, 447–454.
LAU, G. T. & NG, S. 2001. Individual and Situational Factors Influencing Negative Word of Mouth Behaviour. Canadian Journal of Administrative Sciences/Revue Canadienne des Sciences de l’Administration, 18, 163–178.
LEITNER, P. & GRECHENIG, T. 2008. Collaborative Shopping Networks: Sharing the Wisdom of Crowds in E-Commerce Environments. BLED 2008 Proceedings, 21.
LI & FUNG RESEARCH CENTRE 2007. Revisiting China’s Cosmetics Market. Industry Series, Issue 9.
LI & FUNG RESEARCH CENTRE 2009. Latest developments of China’s Cosmetics Market. Industry Series, Issue 14.
LI & FUNG RESEARCH CENTRE. 2011. China’s cosmetics market. [Online] Available: http://www.idsgroup.com/profile/pdf/industry_series/Issue17_Cosmetics.pdf [Accessed 3 April 2011].
LIU, Y. 2006. Word of mouth for movies: Its dynamics and impact on box office revenue. Journal of Marketing, 70, 74–89.
MARK, R. 2007. Cosmetics market continues to mature in increasingly prosperous China. International News Services.com [Online]. Available: http://www.thefreelibrary.com/Cosmetics+market+continues+to+mature+in+increasingly+prosperous+China.-a0226475945 [Accessed 10 April 2011].
MARSDEN, P. V. & CAMPBELL, K. E. 1984. Measuring tie strength. Soc. F., 63, 482.
MARTIN, L. M. & MATLAY, H. 2003. Innovative use of the Internet in established small firms: The impact of knowledge management and organisational learning in accessing new opportunities. Qualitative Market Research: An International Journal, 6, 18–26.
MONEY, R. B., GILLY, M. C. & GRAHAM, J. L. 1998. Explorations of national culture and word-of-mouth referral behavior in the purchase of industrial services in the United States and Japan. The Journal of Marketing, 76–87.
NEWMAN, M. E. J. 2003. The structure and function of complex networks. SIAM review, 167–256.
OSTERWALDER, A. & PIGNEUR, Y. Year. An e-business model ontology for modeling e-business. In, 2002. Citeseer, 17–19.
PALMER, M. 2008. Shoppers Find Goods Well Recommended. Financial Times.
PETROVIC, O., KITTL, C. & TEKSTEN, R. D. Year. Developing business models for ebusiness. In, 2001.
PRICE, D. J. 1965. Networks of scientific papers. Science, 149, 510.
ROGERS, E. M. 1995. Diffusion of innovation. New York, NY: Free Press.
SALGANIK, M. J., DODDS, P. S. & WATTS, D. J. 2006. Experimental study of inequality and unpredictability in an artificial cultural market. Science, 311, 854.
SCHIFFMAN, L. G. & KANUK, L. L. 2000. Consumer Behavior, 7th. Prentice Hall.
SCHLOSSER, A. E., WHITE, T. B. & LLOYD, S. M. 2006. Converting web site visitors into buyers: how web site investment increases consumer trusting beliefs and online purchase intentions. Journal of Marketing, 70, 133–148.
SELLITTO, C., WENN, A. AND BURGESS, S. 2003. A Review of the Websites of Small Australian Wineries: Motivations, Goals and Success. Information Technology and Management 4(2–3): 215–232.
SMITH, D., MENON, S. & SIVAKUMAR, K. 2005. Online peer and editorial recommendations, trust, and choice in virtual markets. Journal of Interactive Marketing, 19, 15–37.
STEPHEN, A. T. & TOUBIA, O. 2010. Deriving value from social commerce networks. Journal of Marketing Research, 47, 215–228.
SWAMYNATHAN, G., WILSON, C., BOE, B., ALMEROTH, K. & ZHAO, B. Y. Year. Do social networks improve e-commerce?: a study on social marketplaces. In, 2008. ACM, 1–6.
TEDESCHI, B. 2006. Like Shopping? Social Networking? Try Social Shopping. New York Times.
THE NIELSEN COMPANY. 2007. Nielsen Online Global Consumer Study April 2007. [Online] Available: http://www.nielsen.com/media/200 7/pr_071001.html
TRUSOV, M., BUCKLIN, R. E. & PAUWELS, K. 2009. Estimating the Dynamic Effects of Online Word-of-Mouth on Member Growth of a Social Network Site. Journal of Marketing, 73, 90–102.
UK TRADE & INVESTMENT. 2010. Cosmetics Market in South China. [Online] Available: http://www.ukti.gov.uk/export/sectors/businessconsumerservices/sectorbriefing/116270.html [Accessed 6 April 2011].
USCHOLD, M. & KING, M. Year. Towards a methodology for building ontologies. In, 1995. Citeseer.
WANG, Y. & FESENMAIER, D. R. 2003. Understanding the motivation of contribution in online communities: an empirical investigation of an online travel community. Electronic Markets, 13, 33–45.
WATTS, D. J. & DODDS, P. S. 2007. Influentials, networks, and public opinion formation. Journal of Consumer Research, 34, 441–458.
WOMMA. 2007. Press Release: Word of Mouth Market-ing Is Here to Stay: WOMMA Reaches Membership Milestone, Looks Forward to Industry Growth. [Online] Available: http://www.womma.org/news/008905.php [Accessed 22 July, 2011].
YANG, S. & ALLENBY, G. M. 2003. Modeling interdependent consumer preferences. Journal of Marketing Research, 40, 282–294.
YU, H., KAMINSKY, M., GIBBONS, P. B. & FLAXMAN, A. D. 2008. SybilGuard: Defending Against Sybil Attacks via Social Networks. IEEE/ACM Transactions on Networking (ToN), 16, 576–589.
ZAICHKOWSKY, J. L. 1985. Measuring the involvement construct. Journal of Consumer Research, 341–352.
1 Crowdsourcing, a new neologism coined by Jeff Howe in 2004, is a term of collective intelligence from the mass of voluntary online users.
2 A “Sybil” attack is an attack in the virtual world which attempts to subvert a reputation system via forging identities in peer-to-peer (P2P) networking (Douceur, 2002).
3 A bricks-and-mortar shopping centre is a shopping mall established on the concept of increasing the individual shop’s accessibility to customers in order to generate more economic value (Enders and Jelassi, 2000).
4 Indegree centrality: a number of incoming hyperlinks from other shops to a shop (Stephen and Toubia, 2010).
5 Outdegree centrality: a number of outgoing hyperlinks from a shop to others (Stephen and Toubia, 2010).
6 Overstock Auctions, which is a transaction marketplace with the features of social networks, encourages users to build up personal profiles and shares their shopping preferences and transaction records. Meanwhile, it connects transaction partners (buyer or seller) into parts of a new network, which are called “business networks” (Swamynathan et al., 2008).
Appendix 1 : Traffic of social networks (MySpace, Facebook, Orkut, Hi5, Friendster)

Source: Leitner and Grechenig, 2008
Appendix 2 : Traffic of MySpace and e-commerce sites Amazon AND eBay

Source: Leitner and Grechenig, 2008
Appendix 3 : comparison of Bricks-and-Mortar and Social Commerce
| According to Stephen and Toubia (2010), there are four different concepts of accessibility between bricks-and-mortar shopping centres and social commerce networks: |
- For social commerce, the shopping network is directed, which means that there is a hyperlink from point A to point B, but it is unnecessary for it to be reversed. In contrast, the network is undirected in a bricks-and-mortar shopping centre. This means that the browsing path is not structurally constrained as it is in an e-shopping environment, but it is constrained by physical proximities
- It is unnecessary for customers to visit every shop when browsing in a shopping mall. However, in an online environment, following a pathway of browsing in each shop is indispensable: AàBàC, instead of AàC
- The costs of travelling are much lower in the online environment than for a real shopping mall
- There is a physical constraint so a bricks-and-mortar shop has a limited numbers of neighbours. In contrast, in social commerce, there is no limit for the numbers of linkages to and from any e-shops.
Source: Stephen and Toubia, 2010
Appendix 4 : Online Word of Mouth PROCESS

Word of mouth process
Source: Brown et al., 2007

